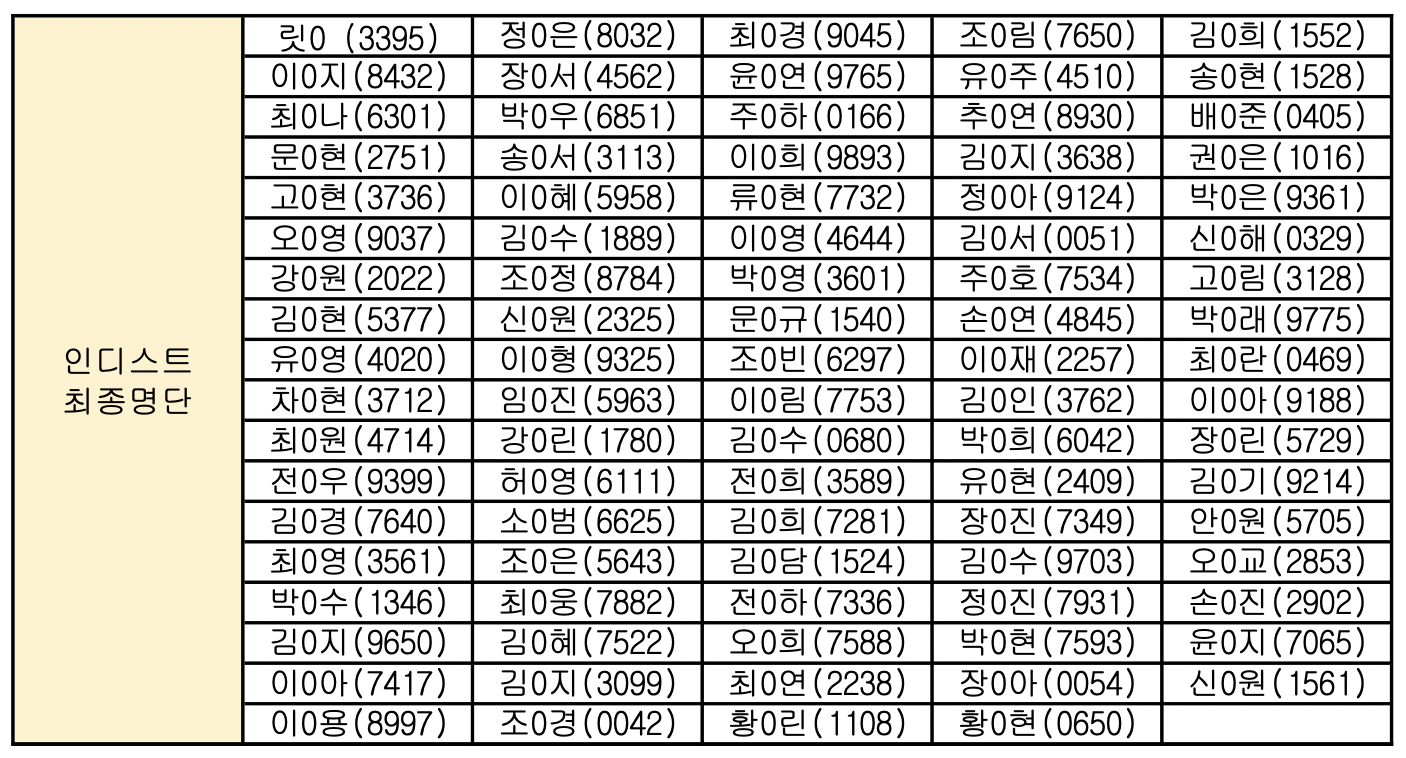
[¼­¿ïÇÁ¸°ÁöÆä½ºÆ¼¹ú2025] ÀÎµð½ºÆ® ÃÖÁ¾ ¸í´Ü ¹× ÀÏÁ¤¾È³»

seoulfringe2025-07-041471

¾È³çÇϼ¼¿ä. ¼­¿ïÇÁ¸°ÁöÆä½ºÆ¼¹ú 2025 »ç¹«±¹ÀÔ´Ï´Ù. 

¼­¿ïÇÁ¸°ÁöÆä½ºÆ¼¹ú 2025¸¦ ÇÔ²² ¸¸µé¾î°¥ ÀÎµð½ºÆ® ÃÖÁ¾¸í´Ü°ú 
ÀÎµð½ºÆ® ¿À¸®¿£Å×ÀÌ¼Ç ¾È³»µå¸³´Ï´Ù.

🧡ÀÎµð½ºÆ® ¿À¸®¿£Å×À̼Ç🧡
ÀϽà : 2025.07.05. (Åä) 14:00 - 16:30
Àå¼Ò : Ç÷¡±× Å×ÀÏ ÆÁ½Ã ÁöÇÏ 1Ãþ (¼­¿ï ¸¶Æ÷±¸ ¼º»êµ¿ 52-12)
         Ç÷¡±× Å×ÀÏ ÆÁ½Ã - ³×À̹ö Áöµµ
Áغñ¹° : ÅÒºí·¯ ¹× ¶Ñ²±ÀÖ´Â ¹°º´ ¹× Çʱⱸ 
(Å×ÀÌÅ© ¾Æ¿ôÄÅ ¹ÝÀÔ ºÒ°¡À̸ç, À½·á´Â ÁغñµÇ¾îÀÖÁö ¾Ê½À´Ï´Ù.)

ÀÎµð½ºÆ® ¿À¸®¿£Å×À̼ÇÀº ÃàÁ¦¸¦ ÇÔ²² ¸¸µé¾î°¥ ¸ðµç ÀÎµð½ºÆ®µé°ú ½ºÅǵéÀÌ ÇÑÀÚ¸®¿¡ ¸ð¿© 
Àλ縦 ³ª´©°í, ¾ÕÀ¸·Î ÇÔ²² ¸¸µé¾î°¥ ÃàÁ¦¿¡ ´ëÇÑ ¼Ò°³¿Í ¾î¶² Ȱµ¿µéÀ» ÇϰԵǴÂÁö 
¼Ò°³Çص帮´Â ÀÚ¸®¶ó°í »ý°¢ÇØÁֽøé ÁÁÀ» °Í °°½À´Ï´Ù. :) 


ÀÎµð½ºÆ®¸¦ Áö¿øÇØÁֽЏðµç ºÐµé²² °¨»çµå¸³´Ï´Ù. 
¶ß°Å¿î ¿©¸§!  ÇÁ¸°Áö¿Í ÇÔ²² º¸³»¿ä😎

 ¹®ÀÇ 
īī¿ÀÅå ä³Î: ¼­¿ïÇÁ¸°ÁöÆä½ºÆ¼¹ú http://pf.kakao.com/_FwRLxb 
÷ºÎ